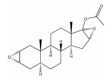
Deskrizzjoni tal-Prodotti
Isem Ingliż: Rocuronium Bromide Intermediate Impurity
Numru CAS: 50588-22-2
Formula Molekulari: C21H30O4
Piż molekulari: 346.46
Numru Einecs: 610-544-6
Kategoriji relatati: Kontroll tal-kontroll tal-Imperità; inibitur; kontroll tal-impurità; Intermedjusofrocuroniumbromide
Formula Kostituzzjonali:

Propjetajiet ta 'impurità intermedja tar-rocuronium bromide
Punt tat-togħlija: 428.8 ± 45. 0 grad (previst)
Densità: 1.22 ± 0. 1 g / cm3 (imbassar)
Solubilità: Solubbli fil-kloroform (kemmxejn imsaħħan), DMSO (kemmxejn imsaħħan), metanol (kemmxejn imsaħħan)
Kundizzjoni tal-Ħażna: fi 2-8 grad
Morfoloġiku: Solidu
Kulur: abjad li jħobb l-abjad
It-tags Popolari: Impuritajiet intermedji tal-bromur tar-rocuronium, iċ-Ċina Rocuronium Bromide Intermediate Impurities Fornituri

